Barangay BF imposes stricter guidelines on its Enhanced Community Quarantine scheme
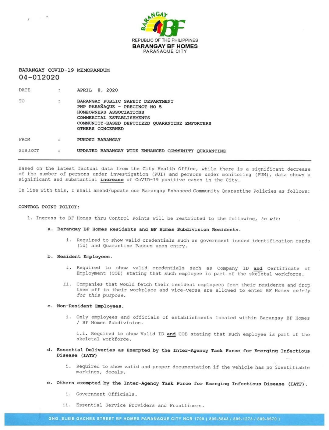
“While there is a significant decrease of the number of persons under investigation (PUI) and persons under monitoring (PUM), data shows a SUBSTANTIAL INCREASE of Covid-19 positive cases in the City…”
With that introduction, Barangay BF Paolo Marquez wrote a memo amending the current barangay policies in relation to the ECQ.
Addressed to the Barangay Public Safety Department, PNP Paranaque-Precinct No. 5, Homeowner Associations, commercial establishments, community-based deputized quarantine enforcers and others concerned, the memo ordered the following points:

ENTRY TO THE VILLAGE
- Barangay BF Homes and BF Homes Subdivision residents are required to show valid credentials such as government-issued IDs AND Quarantine Passes upon entry.
- Resident Employees are required to show valid credentials such as Company ID AND Certificate of Employment (COE) stating that such employee is part of a skeletal workforce.
- For non-resident employees, only employees and officials of establishments located within Barangay BF Homes/BF Homes Subdivision will be allowed but are required to show valid ID AND COE stating that such employee is part of a skeletal workforce.
- Essential Deliveries as exempted by the Inter-Agency Task Force will be allowed but are required to show valid and proper documentation if the vehicle has no identifiable markings or decals.
- Visitors and non-residents will be refused to enter Barangay BF Homes unless a valid extraordinary circumstance so warrants.
- Motorcycles with passengers shall also be refused entry to Barangay BF Homes.
*others exempted are government officials, essential service providers and frontliners and members and auxiliaries of the IATF and Task Force Covid-19
COMMERCIAL ESTABLISHMENTS
Only essential services indicated below are allowed to operate within the prescribed hours:
- Food-based establishments like restaurants, carinderia or any prepared cooked food establishment (restricted for take out and deliveries only) – 6am to 7pm
- Supermarkets, groceries, convenience stores – 6am to 7pm
- Wet Markets – 6am to 3pm
- Pharmacies – 6am to 7pm
- Financial Institutions – 6am to 7pm
- Utility Companies – 6am to 7pm
*prohibition on the selling of intoxicating drinks is enforced entirely in the City of Paranaque
*other commercial establishments not indicated above are not allowed to operate
*concerned establishments must implement social distancing and require individuals to presents their Quarantine Passes upon entry to the premises
SOCIAL DISTANCING AND FACE MASKS
- Face Mask Policy shall be strictly implemented. Any individual caught not wearing face masks in public shall be dealt with accordingly.
- Social Distancing remains to be at one-meter apart between people.
- Jogging or wandering around public places are strictly prohibited.
- Mass Gatherings of whatever nature is strictly prohibited.
QUARANTINE PASSES
- Only one person can use the Quarantine Pass at a time. Drivers are allowed to accompany the QP holder but should only stay in the car.
- Quarantine Passes must be carried at all times whenever facilitating ESSENTIAL MOVEMENTS.
*essential movements are as follows:
a. purchase of food, beverages, medicine and basic necessities
b. financial transactions
c. government transactions
d. medical/clinical transactions (ie check ups, diagnostics, medical procedures and other medical relevant endeavors)
e. emergency cases
3. Only senior citizens and PWs are allowed to have, at most, one companion
4. Unauthorized/fake Quarantine Passes shall be confiscated
SANCTIONS:
Anyone found violating an provision of this circular and other relevant orders such as City Ordinances shall be brought the the proper authorities to Barangay BF Homes Holding Center or the Police Station.
Violators shall be detained therein and shall only be released upon compliance of the orders of the proper authorities.
Serious offenders may face criminal liability under Article 151 or the Revised Penal Code or Disobedience to Person/s in Authority.



Recent Comments